Cómo llevar a cabo un análisis financiero completo en RatedPower
Este artículo explica cómo llevar a cabo un análisis financiero dentro de RatedPower utilizando las plantillas de costes y cargando un perfil de ingresos por la venta de energía.
Introducción
En RatedPower los usuarios pueden cargar un perfil de ingresos por la venta de la energía durante la vida útil de la planta. Con ello, permitimos generar un informe financiero detallado que proporcione las herramientas necesarias para evaluar la viablidad económica y rentabilidad de su proyecto.
Pestaña de Análisis Financiero
De manera predeterminada, al crear un diseño desde cero, RatedPower emplea valores por defecto en los distintos campos para poder generar resultados del Análisis Financiero de la planta.
En la nueva pestaña "Financiero" se ubican todos los campos para customizar nuestro análisis tal y como se muestra a continuación:
- En la sección "CAPEX", RatedPower seleccionará por defecto como input una plantilla de CAPEX con los precios del extraidos del IRENA para la ubicación de nuestro proyecto.
Dentro de la plantilla, se puede modificar el tipo de cambio, la unidad de referencia (de entre todas las que contabiliza el software), el precio por unidad e incluso un impuesto porcentual. También podemos cambiar la visibilidad de cada entrada, es decir, incluirla u ocultarla en el informe financiero.
Una vez aplicado cualquier cambio a una plantilla, el usuario puede sobrescribirla haciendo click en "Guardar cambios" o crear una nueva plantilla haciendo click en el botón "Guardar nueva plantilla". También deshacer los cambios o eliminar una plantilla haciendo click en el botón "Restablecer" y en el icono de la papelera, respectivamente.

Si ha modificado una plantilla dentro del proceso de diseño pero no la ha guarda como una nueva plantilla, RatedPower mantendrá una copia de la versión modificada. Si clona un diseño con entradas CAPEX modificadas, el diseño clonado tendrá las mismas modificaciones. RatedPower le mostrará una etiqueta "modificada" junto al nombre de la plantilla CAPEX como aviso.
Si quieres examinar las diferentes plantillas disponibles en nuestra base de datos, modificar una existente o, simplemente crear una plantilla propia desde cero, puedes utilizar el siguiente artículo "Cómo crear una plantilla de CAPEX".
- Dentro de la sección "OPEX", el usuario puede definir los gastos de operación anuales de la planta fotovoltaica [u.m/MWp] junto con un factor de escala interanual que los aumente o aminore.

- Paralelamente, en la sección "Ingresos", podemos indicar un precio fijo anual por la venta de energía [u.m/MWh inyectado] para calcular los ingresos anuales. También podremos añadir un factor de escala interanual.
- Finalmente, en la sección de "Parámetros Financieros", podemos indicar la tasa de descuento a emplear para obtener los indicadores financieros.
Tenga en cuenta que para el análsis financiero, RatedPower considerará como gasto, además del OPEX anual, la compra de energía consumida por la planta en horas nocturnas. Para ello utilizará este mismo precio fijo [m.u/MWh consumido]
Resultados
Los valores introducidos anteriormente le permitirán obtener resultados para cada iteración, no solo de la inversión inicial (CAPEX), el precio específico o el coste nivelado de la energía (LCOE - Levelized Cost of Energy) sino que también de los distintos criterios de análisis de inversión comunmente utilizados: VAN, TIR, Periodo de Retorno, Periodo de Retorno actualizado y ROI entre otros.

En el siguiente Glosario se definen los principales elementos utilizados en las fórmula para calcular todos los indicadores financieros:
- CAPEX: son los gastos de capital. Se refiere al la inversión inicial necesaria para desarrollar el proyecto.
- Ingresos anuales: se refiere al dinero generado por la venta de energía inyectada a red [u.m/MWh inyectado] durante el funcionamiento de la planta fotovoltaica.
- OPEX: son los gastos de operación. Se refieren al total de costes necesarios para garantizar que la planta fotovoltaica funcione correctamente durante toda su vida útil. En él se incluyen los costes de operación fijos introducidos por el usuario [u.m/MWp] así como los costes por la compra de la energía consumida [u.m/MWh consumido].
- n: es el número total de años de operación. Este parámetro refleja la vida útil de la planta fotovoltaica.
- r: es la tasa de descuento.
Coste Nivelado de la Energía (LCOE)
El coste nivelado de la electricidad (LCOE - Levelized Cost of Energy) es una medida del coste neto medio actual de un generador para poducir electricidad a lo largo de su vida útil.

Valor Actual Neto (VAN)
El valor actual neto (VAN) de una planta fotovoltaica es la diferencia entre el valor actual de los ingresos por la venta de energía y el valor actual de los gastos de operación durante un determinado periodo de tiempo.

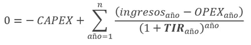
Tasa Interna de Retorno (TIR)
La Tasa Interna de Retorno (TIR) es un indicador financiero que contabiliza la rentabilidad de una inversión. Indica cúal es la tasa de descuento que hace que el valor actual neto (VAN) sea igual a cero para un periodo de tiempo determinado.

Periodo de Retorno
El Periodo de Retorno (o amortización) hace referencia al número de años que se tarda en recuperar la inversión inicial (CAPEX) de la planta fotovoltaica.
Para obtenerlo, el año en el que se recupera dicha inversión inicial ha de verificar el siguiente sistema de inecuaciones:


Periodo de Retorno Descontado
El Periodo de Retorno (o amortización) Descontado hace referencia al número de años que se tarda en recuperar la inversión inicial (CAPEX), desconando los flujos de caja futuros y teniendo en cuenta el valor temporal del dinero.
Para obtenerlo, ha de verificarse el siguiente sistema de inecuaciones:


Retorno de la Inversión (ROI)
El Retorno de la Inversión (ROI) es un ratio que indica el rendimiento que se ha obtenido de los ingresos netos de la planta fotovoltaica por la venta de energía durante un periodo de tiempo frente a los costes por la inversión incial (CAPEX) y la operación y mantenimiento (OPEX) de la misma.

Documentos
Además de los principales indicadores financieros en la interfaz gráfica, RatedPower amplía el documento "Análisis Financiero".
Este documento ahora se muestra el cálculo detallado de todos y cada uno de los índices necesarios para llevar a cabo un análisis completo de rentabilidad y viabilidad económica. Además, tamvién tenemos disponible información en formato gráfica de los principales KPIs financieros.
Otros de los principales KPIs financieros que puedes encontrar en este documento son:
- EBITDA (Beneficios Antes de Intereses, Impuestos, Depreciación y Amortización)- Flujos de Caja Libre (FCF)
- Flujos de Caja Libre Acumulados (CFCF)
- Flujos de Caja Libre Descontados (DFCF)
- Flujos de Caja Libre Acumulado Descontado (DCFCF)
La estructura que sigue este documento se divide en 4 hojas Excel:
- Una hoja para el BOQ con todas las unidades contabilizadas de la planta y que se han empleado para el cáluclo del CAPEX.
- Una hoja para el Análisis Financiero con la progesión anual de todos estos KPIs financieros, tanto en formato tabla como en formato gráfica.
- Una hoja de Ingresos Horarios con precio de compra y venta de energía, así como los beneficios anuales.
- Una hoja para los OPEX donde están incluidos los gastos de operación que haya definido el usuario así como los gastos por la compra de la energía consumida por la planta.
Resumen
Como has podido ver, ahora dentro de RatedPower puedes seleccionar una plantilla de costes y definir un precio fijo por la venta de energía. Esto te permitirá emplear todas las unidades diponibles de cada simulación para calcular no solo el CAPEX, el precio específico o el LCOE, sino que también un Informe Financiero detallado.
Así podrás evaluar la viablidad y rentabilidad económica de cada diseño y, consecuentemente, de tu proyecto.
Para cualquier otra pregunta o para obtener más información sobre la pestaña de análisis financiero y los resultados que RatedPower arroja para evaluar la rentabilidad economica de tu proyecto, puedes ponerte en contacto con nosotros a través del siguiente correo electrónico: support@ratedpower.com